Introdução à Assimilação de Dados (MET 563-3)

Método Variacional - Parte I


Dr. Carlos Frederico Bastarz


Programa de Pós-Graduação em Meteorologia (PGMET) do INPE

20 de Outubro de 2025

Método Variacional


Sumário


Parte I

  1. Cálculo variacional
  2. Revisão de Álgebra Linear (Matrizes)
  3. Introdução ao método 3DVar
    3.1 Histórico e desenvolvimento
    3.2 Características principais
    3.3 Physical-space Statistical Analysis System (PSAS)
    3.4 First Guess at Apropriate Time (FGAT)

Parte II

  1. Componentes
    4.1 Método de minimização da função custo do 3DVar
    4.2 Matriz de covariâncias dos Erros de Previsão
    4.3 Modelo de Transferência Radiativa
    4.4 Controle de Qualidade
  2. Visão geral sobre o método 4DVar
  3. Atividades realizadas no CPTEC com o método 3DVar
Introdução à Assimilação de Dados (MET 563-3)

Método Variacional - Parte I


1. Cálculo variacional

  • Surge no século XVII com o matemático suíço Jean Bernoulli com a proposição do seguinte problema:
    • Entre dois pontos, sendo um mais alto do que o outro, qual é a forma da rampa pela qual um corpo desce mais rápido, apenas sob a ação da gravidade e sem atrito?


Introdução à Assimilação de Dados (MET 563-3)

Método Variacional - Parte I


1. Cálculo variacional


  • 🎲 Este problema ficou conhecido como o Problema da Braquistócrona (a curva descrita pela trajetória do corpo) e emprega a equação de Euler-Lagrange para a sua solução
  • 💡 Inseriu uma nova ideia na matemática: ao invés de se buscar um número que minimiza uma expressão, busca-se uma função (que descreve a forma da curva)
  • ⏳ O tempo total de descida do corpo pode ser descrito como uma integral que depende dessa função e o cálculo variacional permite determinar qual função faz essa integral ser mínima
  • 👉 A essência do cálculo variacional é encontrar uma função que minimiza ou maximiza um funcional🔸, ou seja, uma expressão que associa um número a cada função possível
🔸Funcional é uma generalização do conceito de função e é um número que depende de uma função

Método Variacional - Parte I

1. Cálculo variacional

Um exemplo simples

  • Entre todos os caminhos que ligam os pontos de coordenadas e , encontre aquele que minimiza o comprimento da curva
    1. Para resolver este problema, primeiro temos que definir o nosso funcional:
      • O comprimento da curva é , com
    2. Definido o funcional , aplicamos a equação de Euler-Lagrange:
      • A equação de Euler-Lagrange é
      • Como não depende diretamente de , o segundo termo é zero:
    3. Se a derivada é nula, então temos uma constante , o que implica que é uma constante e que portanto, é linear, ou seja,
    4. Logo, a função que minimiza o comprimento da curva dado pelo funcional é uma reta

Método Variacional - Parte I


1. Cálculo variacional


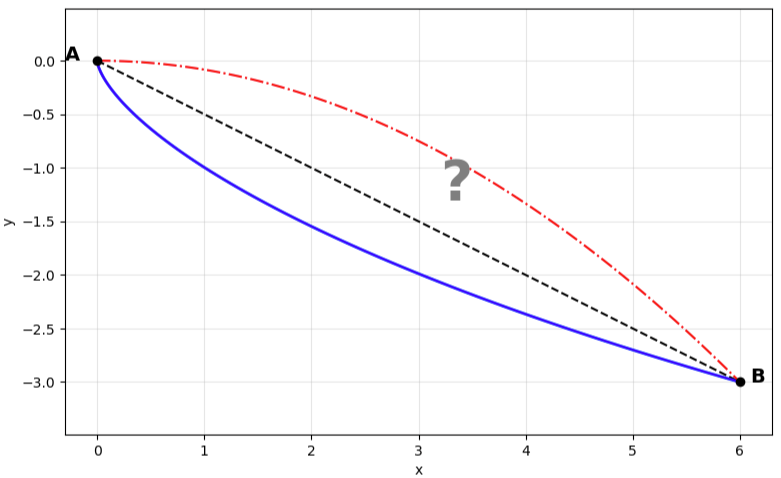
O Problema da braquistócrona

  • Entre dois pontos, sendo um mais alto do que o outro, qual é a forma da rampa pela qual um corpo desce mais rápido, apenas sob a ação da gravidade e sem atrito?

Método Variacional - Parte I


1. Cálculo variacional

O Problema da braquistócrona

  • O tempo de descida do corpo sobre a curva de tempo mais curto, considera a conversão de energia potencial em energia cinética:

  • Onde:

    • é a altura medida do ponto mais alto
    • é a aceleração da gravidade
  • O tempo de deslocamento infinitesimal é , ao longo do comprimento de arco dado por:

  • O tempo total de descida, é dado pela interal (do ponto ao ponto ):

    • Onde:

      • é a variação da altura
Introdução à Assimilação de Dados (MET 563-3)

Método Variacional - Parte I


1. Cálculo variacional


O Problema da braquistócrona


  • O problema do cálculo variacional é encontrar a função que minimiza a integral funcional:

  • Onde:
  • Aplica-se a equação de Euler-Lagrange , a partir da qual obtém-se uma equação diferencial cuja solução é a curva cicloide:

  • Forma paramétrica da ciclóide:

    • Onde:
      • é o raio do círculo que gera a ciclóide
      • é o ângulo da curva
Introdução à Assimilação de Dados (MET 563-3)

Método Variacional - Parte I


2. Revisão de Álgebra Linear (Matrizes)

  • Matriz é um conjunto retangular de informações arranjado em linhas e colunas
  • Os itens individuais de uma matriz são chamados de elementos
  • Por exemplo, uma matriz retangular , com linhas e colunas:

Introdução à Assimilação de Dados (MET 563-3)

Método Variacional - Parte I


2. Revisão de Álgebra Linear (Matrizes)

  • Matrizes de mesmo tamanho podem ser adicionadas ou subtraídas elemento por elemento
  • Multiplicação de matrizes é possível desde que o número de colunas da primeira matriz, seja igual ao número de linhas da segunda matriz
  • Uma matriz com linhas é colunas é chamada matriz , onde e são chamados de dimensões da matriz
  • Uma matriz :

Introdução à Assimilação de Dados (MET 563-3)

Método Variacional - Parte I


2. Revisão de Álgebra Linear (Matrizes)

  • Matrizes com uma única linha são chamadas de vetor linha e matrizes com uma única coluna, são chamadas de vetor coluna
  • Matrizes com o mesmo número de linhas e colunas, são chamadas de matrizes quadradas
  • Exemplos:



Introdução à Assimilação de Dados (MET 563-3)

Método Variacional - Parte I


2. Revisão de Álgebra Linear (Matrizes)

  • Os subscritos, normalmente representados por , correspondem à posição de um dado elemento dentro da matriz
  • Por exemplo, o elemento

Introdução à Assimilação de Dados (MET 563-3)

Método Variacional - Parte I


2. Revisão de Álgebra Linear (Matrizes)

Adição de matrizes



Introdução à Assimilação de Dados (MET 563-3)

Método Variacional - Parte I


2. Revisão de Álgebra Linear (Matrizes)

Transposição de matrizes

  • A transposição de uma matriz representa a reflexão em relação à sua diagonal principal, que se inicia no canto superior esquerdo
  • Se é uma matriz , então a sua transposta é a de dimensões :

Introdução à Assimilação de Dados (MET 563-3)

Método Variacional - Parte I


2. Revisão de Álgebra Linear (Matrizes)

Transposição de matrizes

  • Propriedades:


  • Nota: e são vetores coluna e é o produto escalar

Método Variacional - Parte I

2. Revisão de Álgebra Linear (Matrizes)

Multiplicação de matrizes

  • Multiplicação entre duas matrizes só é possível se o número de colunas da matriz à esquerda for igual ao número de linhas da matriz à direita:

Introdução à Assimilação de Dados (MET 563-3)

Método Variacional - Parte I


2. Revisão de Álgebra Linear (Matrizes)


Multiplicação de matrizes

  • Propriedades:


  • Nota: é um escalar
Introdução à Assimilação de Dados (MET 563-3)

Método Variacional - Parte I


2. Revisão de Álgebra Linear (Matrizes)


Tipos de matrizes

  • Diagonal:

  • Triangular inferior:

  • Triangular superior:

  • Identidade:

Introdução à Assimilação de Dados (MET 563-3)

Método Variacional - Parte I


2. Revisão de Álgebra Linear (Matrizes)


Tipos de matrizes

  • Simétrica ( deve ser quadrada):


  • Inversível (se , não é inversível):

Onde:

Introdução à Assimilação de Dados (MET 563-3)

Método Variacional - Parte I


2. Revisão de Álgebra Linear (Matrizes)


🎲 Exercícios

  1. Adição de matrizes 3 x 3

    • Sejam , calcule

  1. Multiplicação de matrizes 3 x 3

    • Sejam , calcule
Introdução à Assimilação de Dados (MET 563-3)

Método Variacional - Parte I


2. Revisão de Álgebra Linear (Matrizes)


🎲 Exercícios

  1. Determinante de matriz 3 x 3

    • Calcule o determinante de

  1. Inversa de matriz 2 x 2

    • Seja , enconte , se existir
Introdução à Assimilação de Dados (MET 563-3)

Método Variacional - Parte I


2. Revisão de Álgebra Linear (Matrizes)


🟰 Respostas

  1. Adição de matrizes 3 x 3

    • Sejam , calcule

    • 👉
Introdução à Assimilação de Dados (MET 563-3)

Método Variacional - Parte I


2. Revisão de Álgebra Linear (Matrizes)


🟰 Respostas

  1. Multiplicação de matrizes 3 x 3

    • Sejam , calcule

    • 👉
Introdução à Assimilação de Dados (MET 563-3)

Método Variacional - Parte I


2. Revisão de Álgebra Linear (Matrizes)


🟰 Respostas

  1. Determinante de matriz 3 x 3

    • Calcule o determinante🔸 de

    • 👉
    • 👉
    • 👉
🔸Utilizando a regra de Sarrus

Método Variacional - Parte I


2. Revisão de Álgebra Linear (Matrizes)


🟰 Respostas

  1. Inversa de matriz 2 x 2

    • Seja , enconte , se existir

    • 👉
    • 👉
    • 👉
    • 👉
Introdução à Assimilação de Dados (MET 563-3)

🤔 Dúvidas








🔗 https://cfbastarz.github.io/met563-3/
🐙 https://github.com/cfbastarz/MET563-3
📧 carlos.bastarz@inpe.br






👉 This work is licensed under CC BY-NC-SA 4.0

Introdução à Assimilação de Dados (MET 563-3)

Scoped style

Scoped style

Scoped style

Scoped style

Scoped style

Scoped style

Scoped style

Scoped style

Scoped style

Scoped style

Scoped style

Scoped style

Scoped style

Scoped style

Scoped style

Scoped style

Scoped style

Scoped style

Scoped style

Scoped style

Scoped style

Scoped style

Scoped style

Scoped style

Scoped style

Scoped style